Skip to content Skip to sidebar Skip to footer

Unterschied Vitamin K1 Und K2

Vitamin K1 Vs K2 What S The Difference

Vitamin K1 Vs K2 What S The Difference

Unterschied vitamin k1 und k2. Auf der anderen Seite wird K2 von Darmbakterien synthetisiert. Den K-Vitaminen wird bisher nur wenig Beachtung geschenkt dabei ist längst bewiesen dass die Vitamin K1 und K2 Versorgung genauso wichtig für eine gute Gesundheit ist wie die ihrer populären Kollegen. Vitamin K gegen Kalium.

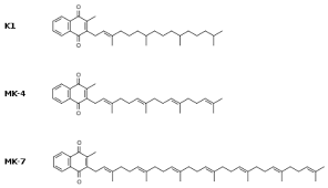
Vitamin K2 in der Nahrung. Vitamin K kommt in der Natur in zwei Formen vor. Vitamin K2 ist in fermentierten Lebensmitteln und Produkten tierischen Ursprungs enthalten.

Die beiden K-Vitamine heissen auch Phyllochinon bzw. So ist für viele ältere Texte das Vitamin K nur das Vitamin K1 und es findet keine korrekte Unterscheidung von K1 und K2 sowie seinen. Es wird also dringend Zeit Vitamin K Versorgung ein wenig mehr ins Rampenlicht zu rücken.

Quellen Grünes Blattgemüse ist eine gute Quelle für Vitamin K1 während Vitamin K2 in tierischen Quellen und fermentierten Lebensmitteln erhältlich ist. Vitamin K1 wird also über die Nahrung aufgenommen. Es macht etwa 75 bis 90 des vom Menschen aufgenommenen Vitamin K aus 2.

Vitamin K1 finden wir hauptsächlich in Blättern unterschiedlicher Grünpflanzen. Es wird auch von Darmbakterien produziert. Vitamin K1 und Vitamin K2.

K1 Phytonadion Phyllochinon und K2 Menachinone können durch die natürliche Bakterienflora des. Vitamin K ist ein fettlösliches Vitamin das ein Derivat von 2-Methilonaphthochinon ist. Vitamin bezieht sich auf bestimmte organische Verbindungen die für verschiedene Körperprozesse wichtig sind.

Das Vitamin K2 wird vom Körper also selbst gebildet speziell von Mikroorganismen unserer eigenen Darmflora. Vitamin K1 is primarily found in leafy green vegetables while K2 is most abundant in fermented foods and some animal products.

Unterschied Zwischen Vitamin K1 Und K2

Unterschied Zwischen Vitamin K1 Und K2

Vitamin K Wikipedia

Vitamin K Wikipedia

Vitamin D Co Faktor Vitamin K2 Wichtiger Co Faktor Von Vitamin D Sonnenallianz

Vitamin D Co Faktor Vitamin K2 Wichtiger Co Faktor Von Vitamin D Sonnenallianz

Vitamin K Alles Was Du Wissen Musst

Vitamin K Alles Was Du Wissen Musst

Vitamin K1 Vs K2 A Side By Side Comparison Innovixlabs

Vitamin K1 Vs K2 A Side By Side Comparison Innovixlabs

Unterschied Zwischen Vitamin K Und K2 Wissenschaft Der Unterschied Zwischen Ahnlichen Objekten Und Begriffen

Unterschied Zwischen Vitamin K Und K2 Wissenschaft Der Unterschied Zwischen Ahnlichen Objekten Und Begriffen

Unterschied Zwischen Vitamin K1 Und K2

Unterschied Zwischen Vitamin K1 Und K2

Vitamin K2 Mk7 All Trans Oder Cis Dr Schweikart Verlag

Vitamin K2 Mk7 All Trans Oder Cis Dr Schweikart Verlag

Unterschied Zwischen Vitamin K Und K2 Vergleichen Sie Den Unterschied Zwischen Ahnlichen Begriffen Leben 2021

Unterschied Zwischen Vitamin K Und K2 Vergleichen Sie Den Unterschied Zwischen Ahnlichen Begriffen Leben 2021

Vitamin K Wichtig Fur Blutgerinnung Und Knochengesundheit

Vitamin K Wichtig Fur Blutgerinnung Und Knochengesundheit

Vitamin K2 Blutgerinnung Und Blutverdunner Dr Schweikart Verlag

Vitamin K2 Blutgerinnung Und Blutverdunner Dr Schweikart Verlag

Differences And Benefits Of Vitamin K1 Vs K2 Canprev Blog

Differences And Benefits Of Vitamin K1 Vs K2 Canprev Blog

Vitamin K Vielseitiger Als Angenommen Pz Pharmazeutische Zeitung

Vitamin K Vielseitiger Als Angenommen Pz Pharmazeutische Zeitung

Vitamin K Wichtig Fur Blutgerinnung Und Knochengesundheit

Vitamin K Wichtig Fur Blutgerinnung Und Knochengesundheit

Vitamin K2 Vitamind3k2 De Dr Jacob S Medical

Vitamin K2 Vitamind3k2 De Dr Jacob S Medical

Verursacht Vitamin K Mangel Einen Testosteron Mangel

Verursacht Vitamin K Mangel Einen Testosteron Mangel

Vitamin D3 Zusammenspiel Mit K2 Kalzium Und Magnesium

Vitamin D3 Zusammenspiel Mit K2 Kalzium Und Magnesium

Vitamin K2 Wirkung Anwendung Und Studien Natur Journal

Vitamin K2 Wirkung Anwendung Und Studien Natur Journal

Vitamin K2 Mk7 All Trans Oder Cis Dr Schweikart Verlag

Vitamin K2 Mk7 All Trans Oder Cis Dr Schweikart Verlag

Vitamin K2 Vitamind3k2 De Dr Jacob S Medical

Vitamin K2 Vitamind3k2 De Dr Jacob S Medical

Lebensmittel Mit Vitamin K Naturliches Vitamin K1 Und K2

Lebensmittel Mit Vitamin K Naturliches Vitamin K1 Und K2

Vitamin K2 Wirkung Anwendung Vorteile

Vitamin K2 Wirkung Anwendung Vorteile

Nahrungserganzung Vitamin K Ann Nix Doccheck

Nahrungserganzung Vitamin K Ann Nix Doccheck

1

1

Life Extension Super K Mit Weiterentwickeltem K2 Komplex Und Vitamin K1 Und K2 Hochdosiert 90 Kapseln Amazon De Drogerie Korperpflege

Life Extension Super K Mit Weiterentwickeltem K2 Komplex Und Vitamin K1 Und K2 Hochdosiert 90 Kapseln Amazon De Drogerie Korperpflege

Menachinon Was Ist Der Unterschied Zwischen Vitamin K1 K2 Und K3

Menachinon Was Ist Der Unterschied Zwischen Vitamin K1 K2 Und K3

Innova Mulsin Das Flussige Vitamin Konzentrat

Innova Mulsin Das Flussige Vitamin Konzentrat

Vitamin K1 Vs K2 What S The Difference

Vitamin K1 Vs K2 What S The Difference

Doppelherz System Vitamin D3 2000 K2 Doppelherz

Doppelherz System Vitamin D3 2000 K2 Doppelherz

Vitamin K Alles Was Du Wissen Musst

Vitamin K Alles Was Du Wissen Musst

Vitamin K2 Mk7 Kapseln Kaufen Gratis Versand

Vitamin K2 Mk7 Kapseln Kaufen Gratis Versand

Vitamin K Wichtig Fur Blutgerinnung Und Knochengesundheit

Vitamin K Wichtig Fur Blutgerinnung Und Knochengesundheit

Vitamin K2 Test Empfehlungen 08 21 Supplementbibel

Vitamin K2 Test Empfehlungen 08 21 Supplementbibel

Vitamin K1 Vs K2 What S The Difference

Vitamin K1 Vs K2 What S The Difference

Vitamin K Das Vergessene Vitamin Jake

Vitamin K Das Vergessene Vitamin Jake

Vitamin K2 Gut Fur Arterien Und Knochen

Vitamin K2 Gut Fur Arterien Und Knochen

Vitamin K Bedeutung Tagesbedarf Mangelerscheinungen Netdoktor

Vitamin K Bedeutung Tagesbedarf Mangelerscheinungen Netdoktor

Life Extension Super K Mit Fortgeschrittene K2 Komplex 90 Softgel Vitamin K Ebay

Life Extension Super K Mit Fortgeschrittene K2 Komplex 90 Softgel Vitamin K Ebay

Vitamin K1 K2 Mk4 Mk7 Teil 1 Unterschiede Vorkommen Auswirkungen Sicherheit Dosierung Calcium Stoffwechsel Aktivator X Und Weston A Price H C S Blog

Vitamin K1 K2 Mk4 Mk7 Teil 1 Unterschiede Vorkommen Auswirkungen Sicherheit Dosierung Calcium Stoffwechsel Aktivator X Und Weston A Price H C S Blog

Vitstore Vitamin K2 Vitstore De Vitaminen Und Mehr

Vitstore Vitamin K2 Vitstore De Vitaminen Und Mehr

Vitamin K2 Wikipedia

Vitamin K2 Wikipedia

Vitamin K Und K2 Bei Osteoporose Und Fur Starke Knochen

Vitamin K Und K2 Bei Osteoporose Und Fur Starke Knochen

Vitamin K2 Alles Uber Das Knochenvitamin Tipps Tricks

Vitamin K2 Alles Uber Das Knochenvitamin Tipps Tricks

Vitamin K2 Lebensmittel Vorteile Dosierung Und Mangel Fitness 2021

Vitamin K2 Lebensmittel Vorteile Dosierung Und Mangel Fitness 2021

Vitamin K2 Test Empfehlungen 08 21 Supplementbibel

Vitamin K2 Test Empfehlungen 08 21 Supplementbibel

Vitamin K Elternmagazin Net

Vitamin K Elternmagazin Net

Vitamin D Co Faktor Vitamin K2 Wichtiger Co Faktor Von Vitamin D Sonnenallianz

Vitamin D Co Faktor Vitamin K2 Wichtiger Co Faktor Von Vitamin D Sonnenallianz

Vitamin K Lebensmittel Die Wichtigsten Fragen Und Antworten Sundt Nutrition

Vitamin K Lebensmittel Die Wichtigsten Fragen Und Antworten Sundt Nutrition

1

1

Den K-Vitaminen wird bisher nur wenig Beachtung geschenkt dabei ist längst bewiesen dass die Vitamin K1 und K2 Versorgung genauso wichtig für eine gute Gesundheit ist wie die ihrer populären Kollegen.

Vitamin K kommt in der Natur in zwei Formen vor. Vitamin K1 und Vitamin K2. Vitamin K gegen Kalium. Auf der anderen Seite wird K2 von Darmbakterien synthetisiert. Vitamin K2 ist in fermentierten Lebensmitteln und Produkten tierischen Ursprungs enthalten. Vitamin K ist ein fettlösliches Vitamin das ein Derivat von 2-Methilonaphthochinon ist. Das Vitamin K2 wird vom Körper also selbst gebildet speziell von Mikroorganismen unserer eigenen Darmflora. Es wird auch von Darmbakterien produziert. Vitamin K1 auch Phyllochinon genannt kommt hauptsächlich in pflanzlichen Lebensmitteln wie grünem Blattgemüse vor.


Vitamin K1 auch Phyllochinon genannt kommt hauptsächlich in pflanzlichen Lebensmitteln wie grünem Blattgemüse vor. Vitamin K1 wird also über die Nahrung aufgenommen. Vitamin K1 kommt hauptsächlich in grünem Gemüse Kräutern und Salat vor Vitamin K2 kommt hauptsächlich in Fleisch Fisch und Tierprodukten vor. Vitamin K ist ein fettlösliches Vitamin das ein Derivat von 2-Methilonaphthochinon ist. Quellen Grünes Blattgemüse ist eine gute Quelle für Vitamin K1 während Vitamin K2 in tierischen Quellen und fermentierten Lebensmitteln erhältlich ist. Zur Entdeckung von Vitamin K ist vorab interessant zu wissen dass die wirkliche Funktion von Vitamin K2 das für den Calcium-Stoffwechsel essentiell ist erst 1997 30 richtig identifiziert wurde. Den K-Vitaminen wird bisher nur wenig Beachtung geschenkt dabei ist längst bewiesen dass die Vitamin K1 und K2 Versorgung genauso wichtig für eine gute Gesundheit ist wie die ihrer populären Kollegen.

Post a Comment for "Unterschied Vitamin K1 Und K2"